By Thibauld Braet
Bij dataroots lopen er heel wat sportievelingen rond en zijn we niet vies van af en toe een impulsieve uitdaging. Eigenschappen die we absoluut gemeenschappelijk hebben met Bobby en Seppe, de hosts van de Jogclub podcast. Impulsiviteit heeft zeker en vast zijn charme, een stijgend aantal wearables heeft sport echter alsmaar meer datagedreven gemaakt. Het leek ons dus leuk om samen met de mannen van de Jogclub ons gevoel af te toetsen tegenover deze sensors in aanloop naar de Jogclub Ultratrail. In deze reeks van blogposts gaan we de data die uit de sensoren vanuit alle mogelijke hoeken gaan benaderen. In deze blogpost zullen we het hebben over lopen met vermogen.
Running Power
Trainen op vermogen is al jaren de standaard in het fietsen. Sinds de lancering van Stryd lijkt de loopwereld ook vermogen te omarmen maar met aanzienlijk grotere argusogen dan de fietswereld. Om te bepalen of dit sceptiscisme terecht is, hebben wij Seppe op pad gestuurd met zijn Stryd en hebben we deze onmiddellijk ook naast de meest recente feature van Garmin gelegd. Zij bieden sinds kort in hun meer geavanceerde horloges vermogensmeting aan uw pols aan. Seppe heeft drie keer de 5km van de Mollekestrail gelopen waarin per rondje twee hellingen verwerkt zitten. Rondje 1 en 3 werden opgelopen, de hellingen in rondje twee werden opgewandeld. In deze post nemen we je met veel plezier mee in de wereld van loopvermogen en door de resultaten van dit testje.
Wat is vermogen?
Vermogen is de hoeveelheid energie omgezet per tijdseenheid. Het is de snelheid waarmee werk verricht wordt. Vermogen wordt typisch uitgedrukt in Watt, maar even goed kan je het uitdrukken in Joule per seconde.
Joule is de standaardeenheid voor energie maar een mogelijks meer bekende is de energieeenheid waarin voedsel typisch uitgedrukt wordt, de calorie. Één calorie is gelijk aan ongeveer 4.2 Joule. Ons lichaam is non-stop bezig met het omzetten van energie uit voedsel om ons lichaam draaiende te houden. Veel energie gaat naar vitale processen om in leven te blijven maar tijdens het lopen wordt er ook een deel energie omgezet in mechanische energie om ons vooruit te drijven. Je zet metabole energie (uit voedsel) om in mechanische energie (om te lopen). Caloriën wordt omgezet in Joules (wat eigenlijk hetzelfde is) al gaat er een heel deel verloren in dat proces door een gebrek aan efficiëntie van ons lichaam.
Hoe sneller je wil lopen, hoe sneller je energie moet omzetten. Om die energie om te zetten heb je zuurstof nodig. Hoe sneller je zuurstof kan aanleveren, hoe sneller je energie kan omzetten en hoe sneller je kan lopen. Hoe snel je zuurstof kan aanleveren, wordt dan weer aangegeven door de alombekende VO2 max. VO2 Max is voornamelijk genetisch bepaald en is slechts beperkt trainbaar. Door te trainen kan je je lichaam wel efficiënter gebruik laten maken van de beschikbare zuurstof. Je wilt zoveel mogelijk metabole energie omzetten in mechanische energie.
Je efficiëntie verhogen doe je door te trainen in bepaalde zones die je intensiteit aangeven (denk aan de typsiche zone 1-5 en de anaerobe en aerobe drempels). Wat je in ideale omstandigheden wil weten tijdens het trainen, is dus hoeveel zuurstof je opneemt. In een labo kan je dit meten met een zuurstofmasker maar dat is niet super praktisch om mee te nemen op je lange duurlopen. Daarom zijn mensen op zoek gegaan naar meetbare metrieken waaruit zuurstofopname afgeleid kan worden. Daaruit is vermogen voortgekomen.
Waarom vermogen meten?
Toen sensoren nog niet in het formaat waren dat ze zomaar konden meegenomen worden tijdens het lopen, was tempo de metriek die aangaf hoe hard je je aan het inspannen was. Op zich geen slechte metriek maar ontzettend onderhevig aan de omstandigheden. Wind mee of tegen, bergop of bergaf, de ondergrond … allemaal hebben ze een invloed op je tempo. Op een vlakke atletiekpiste werkt dit echter best ok, daarom dat veel pistetraining nog altijd worden afgelegd met de chronometer. GPS metingen op een piste zijn namelijk niet erg betrouwbaar of reactief.
Sinds de jaren 80 zijn hartslagmeters beschikbaar die een objectievere kijk gaven aan de geleverde inspanning. Een hogere hartslag betekent een zwaardere inspanning en na een laboratoriumtest kan je makkelijk je hartslagzones linken aan je VO2 zones. Het nadeel van hartslag is echter ook zijn afhankelijkheid van omstandigheden zoals het weer, hoe goed je geslapen hebt of hoe overtrained je bv bent. Een ander nadeel is dat een verandering in hartslag met een stevige vertraging komt tov de verandering in intensiteit. Dit maakt hartslag ongeschikt voor korte intervallen.
In onderstaande klim van de mollekesberg zie je dat hartslag op hetzelfde moment begint te stijgen maar minder stijl en zijn piek zo’n 10 seconden later bereikt in vergelijking met de powermeters. Ook de daling gaat een stuk trager dan de powermeters. Het is dus lastig om live feedback te krijgen van je intensiteit via hartslag.

Nadat hartslag en tempo ongeschikt blijken, komen we aan bij vermogen. Power meters bestaan eigenlijk al best lang. De eerste was commercieel beschikbaar voor de fiets in 1989 maar zijn de afgelopen jaren immens populair geworden. De reden dat power in het fietsen zo populair is, is door zijn sterk verband met je zuurstofinname. Fietsen bestaat uit een heel cyclische beweging waarin spieren enkel samentrekken (concentrisch). De efficiëntie van een concentrische samentrekking is ongeveer 25% wat wil zeggen dat als je je mechanische energieoutput maal vier doet, je ongeveer je metabole energieverbruik krijgt.
Wat bij fietsen werkt, wekt al snel de interesse van de loopwereld? Het is helaas niet zo eenvoudig overdraagbaar. Mechanisch vermogen op de fiets wordt bepaald door te meten hoeveel je crank uitrekt. Zoiets is niet mogelijk in het lopen. (Al zijn er merken op de markt die sensoren in de schoenzolen hebben). Daarnaast is fietsen een puur concentrische activiteit wat bij lopen niet het geval is. Lopen is een combinatie van concentrische, isometrische en excentrische spieractiviteit. Concentrische activiteit heeft een efficiëntie van 25% maar isometrisch 0% en excentrisch zelfs -120% omdat je je lichaam gaat afremmen. De totale efficiëntie hangt dus enorm af van je manier van lopen, en zal lager liggen dan 25%. Efficiënte lopers halen wel die 25% maar wie Seppe al heeft zien lopen vraagt zich op dit moment af of hij überhaupt wel de dubbele cijfers haalt 😅
Stryd
Stryd heeft gebruik gemaakt van de hype in het fietsen om hun eigen “power” meter op de markt te brengen. Je mag het echter geen vermogensmeter noemen, wat ze eigenlijk doen (en ook willen doen en dit actief zeggen) is je metabole energiegebruik inschatten. Hoe ze dit doen weet enkel Stryd zelf maar wat vast staat is dat hier een heleboel calibratie voor zal nodig geweest zijn.
Wat Stryd eigenlijk is, is een voetsensor met accelerometers die beweging in drie richtingen meten, een temperatuursensor, barometer, windsensor en wie weet wat nog allemaal. Allemaal zaken om zo goed mogelijk omgevingsfactoren zoals hellingsgraad en wind in rekening te brengen.
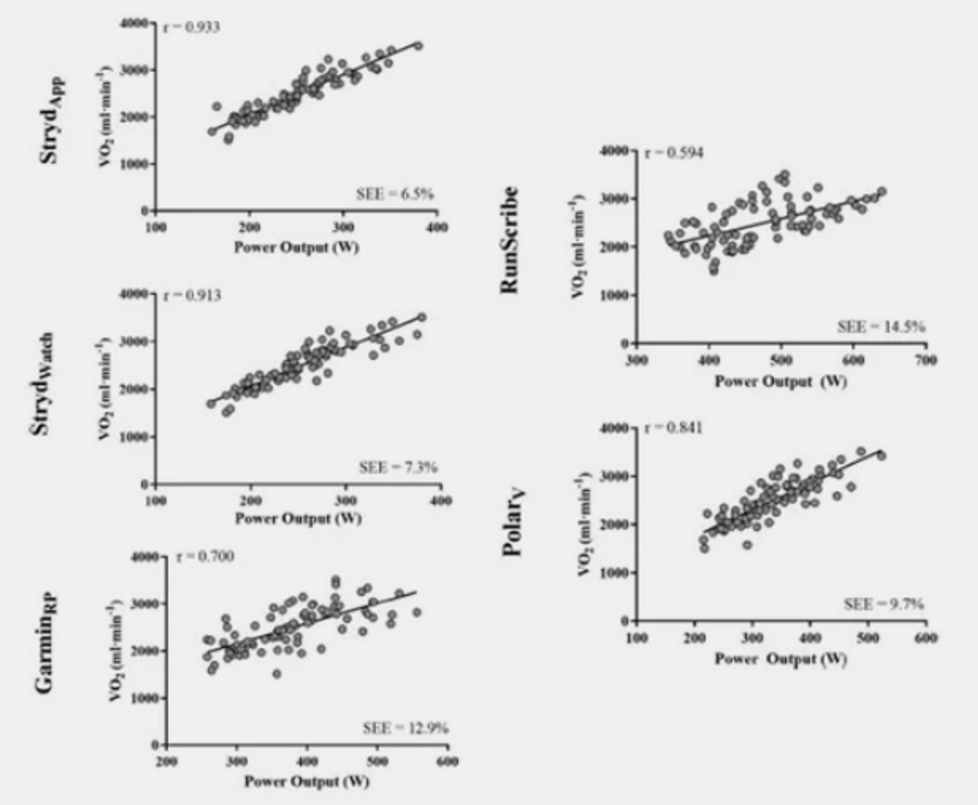
Al deze sensorwaarden worden als input gegeven aan een algoritme dat enkel Stryd kent. In dit algoritme wordt aan elke sensorwaarde een gewicht gegeven en het resultaat hiervan is een getal dat Stryd besloot om Power te noemen. Ookal is power officieel een foute naam, het getal dat er uitkomt is volgens verschillende validatiestudies toch écht wel een goede representatie van je metabolische energieverbruik. Ze laten concurrenten als Garmin en Polar makkelijk achter zich.

Hoe komt het nu dat ze daar zo goed in zijn. Het antwoord is uren aan gecalibreerde tests. Hoe ze de gewichten van elke sensor bepalen is door testpersonen met een Stryd te laten lopen in een laboratorium op een loopband van enkele tienduizenden euro’s die werkelijk druk meet en dus het échte vermogen kan meten. Deze loopband zetten ze in allerlei hellingsgraden en snelheden tot ze genoeg datapunten hebben om een verband tussen de sensoren en vermogen te achterhalen. Dit lijkt een vorm van een klassiek regressieprobleem te zijn wat je in theorie ook zelf in Excel kan doen (mits je een hele dure loopband hebt). De achterliggende formule zal waarschijnlijk wel iets complexer zijn.
Nu, het interessante aan Stryd is eigenlijk dat ze helemaal geen mechanisch vermogen proberen te benaderen maar ook zelf toegeven dat ze net metabool vermogen willen benaderen. Gezien de complexiteit van loopvermogen tov fietsvermogen houdt dit volledig steek! Ook in het fietsen ben je niet geïnteresseerd in mechanisch vermogen, het komt gewoon goed uit dat dit een heel sterk verband heeft met metabool vermogen zodat we makkelijk de overgang kunnen maken.
Tijdens hun testen meten ze namelijk ook je zuurstofopname en proberen eigenlijk een verband te maken tussen de sensorwaarden en zuurstof opname en dit in alle omstandigheden. Denk bv aan bergaf lopen. Vanaf een hellingsgraad van -15% ga je eigenlijk enkel maar negatieve mechanische energie leveren omdat je continu probeert af te remmen. Stryd gaat echter geen negatief wattage op je horloge weergeven. Uit hun experimenten weten ze hoeveel zuurstof je opneemt bij een helling van -15% en ze weten welk vermogen je levert op het vlakke wanneer je evenveel zuurstof opneemt. Dit is dan ook het getal dat je op je horloge ziet: het equivalente vermogen alsof je op het vlakke zou lopen.
Dit is ook hoe Stryd zich onderscheid van andere power meters. Van Garmin wordt bv gezegd dat zij wel je werkelijk mechanisch vermogen proberen te benaderen. Zoals eerder gezegd is dit echter een waarde waar je eigenlijk niet in geïnteresseerd is. Dit kan echter wel verklaren waarom de Garmin powermeter gemiddeld zo’n 130 Watt meer aangeeft al zit hier best veel variëteit op.

Wat merkwaardig is, is dat tijdens de afdalingen het verschil kleiner is terwijl tijdens de klims, het verschil net groter wordt met een piek wanneer terug op het vlakke wordt overgegaan. Om te weten waarom dit het geval is, hebben we niet genoeg kennis over beide algoritmes maar het feit dat het ene op de voet en het andere op de pols gemeten wordt, zal er ongetwijfeld iets mee te maken hebben.
Stryd tekortkomingen
Techniciteit
Stryd mag dan de beste “power”meter in de markt zijn om je metabool energieverbruik te benaderen, helemaal perfect is het niet. Bedenk je maar hoe veel nood ze hebben aan calibraties in het laboratorium. Voor sommige parcours is een loopband gewoon geen goede equivalent, denk maar aan elke technische Alpentrail waar je moet opletten bij elke stap die je zet, dit kan je moeilijk nog een representatief looppatroon noemen. Stryd geeft dit ook zelf toe op hun website. Je kan power beter compleet negeren in technische afdalingen

Wandelen
Een andere vraag is wat de doen bij wandelen. Quasi een vast onderdeel van elke ultratrail en dus mogelijks ook op de Jogclub ultra. Helaas zal je ook dan niet op je powermeter kunnen vertrouwen.


Tijdens de tweede beklimming van de Mollekensberg lijkt Seppe een heel constant tempo aan te houden maar Stryd vertoont daarbij best veel fluctuaties ookal is de hellingsgraad constant. Een heel snelle en gesimplificeerde observatie maar gemiddeld is duidelijk dat wandel power lager ligt dan running power maar je snelheid ligt ook lager. Of de drop in power accuraat is voor de drop in metabool energieverbruik is maar de vraag, waar we op basis van deze test ook geen antwoord op kunnen geven. Vooraleer je besluit om op basis van je Stryd een Everesting te wagen, kan je best nog wat verder experimenteren.
Ondergrond
Een interessante, niet onderzochte vraag, is de afhankelijkheid van de ondergrond. Dat je meer energie verbruikt in de modder voel je zelf ook wel maar hoe vertaalt zich dit in vermogen? Of hoeveel efficiëntie verlies je op een Finse piste?
Conclusie
Als we zelf tot een conclusie mogen komen, zouden we zeggen dat Stryd een goeie indicator is van intensiteit (en dus geen powermeter) voor elke looptraining die je ook op een loopband had kunnen uitvoeren.